Višegodišnja promjenjivost temperature mora i saliniteta u području Jadrana
Temperatura, salinitet i gustoća morske vode
Branka Grbec/ Institut za oceanografiju i ribarstvo, Split
Nastjenjka Supić/ Centar za istraživanje mora, Rovinj
Višegodišnja promjenjivost temperature mora i saliniteta u području Jadrana s osvrtom na razdoblje 2015.-2020.
Termohaline osobine mora ovise o nizu fizikalnih čimbenika koji su dijelom rezultat procesa u moru te procesa na granici atmosfera-more. Slijedom toga, po uzroku, fizikalne procese možemo uvjetno dijeliti na oceanografske i meteorološke. Oceanografski procesi koji uvjetuju promjenu površinske temperature mora te promjene u dubljim slojevima su advektivni prijenosi topline morskim strujama, prijenosi topline molekularnim putem i turbulentna gibanja uvjetovana nestabilnošću vodenog stupca. Učinci interakcije atmosfera-more kao što je tok topline, tj. razlika topline koju more primi iz atmosfere i one topline koju njoj (atmosferi) predaje, uzrokuju znatne vertikalne promjene topline površinskog sloja mora. I druge osobine mora također se mijenjaju pod djelovanjem horizontalnih i vertikalnih procesima. Sadržaj soli površinskog sloja mora, o čemu ovisi njegov salinitet, podložan je promjenama koje se događaju zbog procesa isparavanja, znači gubitka mase, odnosno povećanja sadržaja soli u moru, slatkovodnih dotoka oborinom, a u obalnim područjima rijekama i vruljama – procesima koji razrjeđuju more, tj. čine ga manje slanim. Meteorološki procesi nad morem reflektiraju se unutar graničnog sloja gdje se stalnom izmjenom svojstava između dvaju medija mijenjaju fizikalni, kemijski i biološki procese na njegovoj površini i u moru.
Varijabilnost temperature površinskog sloja mora veća je od varijabilnosti temperature mora u dubljim slojevima zbog izrazitog upliva atmosfere na fizikalne procese u površinskom sloju što se, između ostalog, vidi i usporedbom površinske temperature mora i temperature zraka (slika 1). Više o termohalinim osobinama i sezonskim promjenama temperature mora dostupno je na stranici ViLab-a (www.izor.hr ) – projekta koji se provodi suradnjom Instituta za oceanografiju i ribarstvo i Državnog hidrometeorološkog zavoda (Grbec, B., Bajić, A. and ViLab team (2010). Virtual laboratory. Institute of Oceanography and Fisheries, Split. Meteorological and Hydrological Service, Zagreb).

Slika 1. Srednji godišnji hod temperature zraka i mora za obalno područje srednjeg Jadrana (meteorološka postaja Split-Marjan i postaja Split–Punta Jurana; razdoblje 1961-1990). Vertikalne linije predstavljaju standardne devijacije.
Temperatura i salinitete vodenog stupca rezultat su uravnoteženosti procesa u moru te onih procesa koji svoju realizaciju ostvaruju u graničnom sloju atmosfera-more. Procesi kao što su advektivni prijenosi topline morskim strujama, prijenosi topline molekularnim putem i turbulentna gibanja uvjetovana nestabilnošću vodenog stupca, kontroliraju toplinu vodenog stupca. Općenito, promjene nekog svojstva morske vode (temperatura, salinitet) događaju se zbog zajedničkog djelovanja horizontalnih i vertikalnih procesa. Često puta je neophodno odrediti udio pojedinog procesa (interesantnog za neku specifičnu fizikalnu pojavu) u ukupnoj promjenjivost nekog svojstva morske vode. U prvoj aproksimaciji (tj. ako se zanemari konvekcija) vremenske promjene topline i soli moguće je odrediti kao rezultat horizontalnih i vertikalnih procesa. Analizom tih procesa moguće je, primjenom odgovarajućih modela, odrediti udio pojedinih procesa u ukupnoj termohalinoj varijabilnosti vodenog stupca (Grbec, B. 1997; Grbec, B. i Morović, M; 1997). Time se potvrđuje da temperaturna varijabilnost mora opada s dubinom (slika 2) i, što je važnije, određuje se koji procesi duž istočne obale Jadrana igraju pri tome značajnu ulogu.

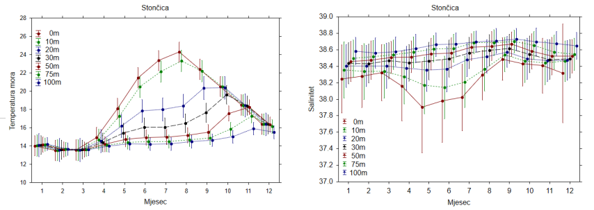
Slika 2. Srednji godišnji hod temperature mora i saliniteta na standardnim oceanografskim dubinama u području srednjeg Jadrana (oceanografska postaja Stončica; razdoblje 1961-2017; podaci Instituta za oceanografiju i ribarstvo). Vertikalne linije predstavljaju pripadne standardne devijacije.
Najizraženija varijabilnost temperature u površinskom sloju uočava se tijekom toplog dijela godine, odnosno u vrijeme stratificiranosti vodenog stupca (Matić, i sur. 2011), kada utjecaj atmosfere dopire do termokline. Tijekom hladnog dijela godine vodeni stupac je dobro izmiješan i varijabilnosti temperature mora po dubini su usporedive. Razlike su uočljive jedino u vrlo plitkom površinskom sloju posebno u područjima gdje je prisutna slatka voda.
Na godišnjem se hodu temperature mora u vodenom stupcu uočava izotermija tijekom jeseni i zime, te opadanje varijabilnosti s dubinom. Varijacije temperature unutar pojedinog mjeseca imaju maksimalne vrijednosti na površini, a idući dublje varijabilnost se smanjuje. Analizom višegodišnje promjenjivosti temperature mora na raznim dubinama (Grbec, 1997) na dubini od 10m maksimum temperature kasni 9 dana u odnosu na površinski sloj. Na dubini od 20 m to kašnjenje je 48 dana, dok sloj 75-100 m kasni 93 dana u odnosu na površinu. Minimalna temperatura bilježi se tijekom veljače, a na dubini od (75-100)m početkom ožujka. Sve to upućuje na zaključak da se varijabilnost temperature s dubinom smanjuje. Pri tome značajnu ulogu ima stabilnost vodenog stupca tijekom godine. Općenito se može reći da je stabilnost veća što je veći vertikalni gradijent gustoće mora. Stoga je stabilnost najveća u ljetnom razdoblju, kada je u vodenom stupcu prisutna naglašena negativna termoklina, te je utjecaj vertikalne promjene temperature na vertikalnu razdiobu gustoće značajniji od utjecaja saliniteta. Tijekom zime, odnosno u hladnom razdoblju godine, termoklina nije prisutna zbog intenzivnih procesa vertikalnog miješanja, te advekcije, pa je vertikalni gradijent gustoće malen, te u plitkom moru dominantno ovisi o vertikalnom gradijentu saliniteta, posebno u područjima koja su pod utjecajem dotoka slatke vode s kopna.
Ljeti se u vrlo plitkom površinskom sloju, u područjima uz obalu, razlijeva lakša voda sniženog saliniteta, vrlo podložna utjecaju atmosfere, a kao rezultat temperatura mora tog sloja varijabilnija je od temperature u dubljim slojevima. Međutim, zbog utjecaja internih valova i uzdizanja hladnije vode iz dubljih slojeva prema površini (eng. upweeling) moguće je da, u pojedinim područjima uz obalu, dolazi do narušavanja ove strukture u vrijeme stratificiranosti vodenog stupca i dobro razvijenu obalnu cirkulaciju (Orlić, i sur. 2011). Općenito je u površinskom sloju temperatura varijabilnija nego u dubljim slojevima.
Analiza višegodišnje promjenjivosti termohalinih osobina, obzirom da se uglavnom oslanja na oceanografska mjerenja koja se provode tijekom jednomjesečnih krstarenja, sadrži nesigurnost uglavnom vezanu za diskretna sporadična mjerenja. Naime, oceanografska terenska mjerenja, za razliku od mjerenja atmosfere na meteorološkim postajama bitno se razlikuju. Stoga o tome treba voditi računa pri interpretaciji rezultata analize, posebno u vrijeme sve izraženijih klimatskih promjena. U nedostatku dugoročnih nizova temperature i saliniteta mjerenih na oceanografskim plutačama i obalnim postajama potrebno je interpretaciju uskladiti s drugim prikladnim nizovima.
Analizom mjerenja površinske temperature mora na obalnim postajama koje kontinuirano 3 puta dnevno provodi DHMZ može se donekle premostiti ovaj nedostatak.
Razdoblje 2015.-2020.
Termohaline osobine razdoblja 2015.-2020. u području srednjeg Jadrana uglavnom su bile značajno izvan klimatoloških vrijednosti razdoblja 1961.-1990., iako u odnosu na razdoblje (2009.-2013.) koje se uzima u meteorologiji kao razdoblje ekstrema, nisu zabilježena značajnija odstupanja.
Višegodišnje promjene prizemne temperature zraka za meteorološku postaju Hvar (slika 4) upućuju na izraziti pozitivan trend zadnjih desetljeća. Na slici su naznačeni i periodi značajnijih oceanografskih ekspedicija.

Slika 3. Višegodišnje promjene prizemne temperature zraka.
(izvor podataka; meteorološka postaja Hvar, DHMZ)
Površinska temperatura mora duž istočne obale Jadrana također zadnjih desetljeća pokazuje značajan pozitivan trend, vidljiv na grafovima površinske temperature mora mjerene na postajama DHMZ-a Temperatura se na tim postajama mjeri 3 puta dnevno, što omogućava dobivanje realnije slike toplinske promjenjivosti u površinskom sloju u odnosu na onu koja se dobije analizom oceanografskim mjerenjima (slika 4; postaja Hvar/DHMZ i postaja Pelegrin/IOR). Uzimajući u obzir ograničenja oceanografskih mjerenja (vremenski „undersampling“) te analizirajući površinske temperature mora s mjerene postaje Hvar za nekoliko odabranih perioda primjetno je kontinuirano zagrijavanje površinskog sloja mora tijekom cijele godine koje je počelo 80-ih godina prošlog stoljeća (vidi sliku 3).

Slika 4. Višegodišnje promjene površinske temperature mora na oceanografskim postajama Pelegrin i Stončica (gornja slika). Usporedba višegodišnje promjene površinske temperature mora na oceanografskoj postaji Pelegrin i postaji DHMZ-a / SST-Hvar (donja slika)

Slika 5. Srednji godišnji hod površinske temperature mora mjerene na
postaji Hvar (izvor podataka: DHMZ) za odabrane periode
Analiza podataka oceanografskih mjerenja (postaja Pelegrin; svi raspoloživi podaci) za period 2015.-2020. također pokazuje relativni porast temperature na sezonskoj skali. Promatrajući srednje mjesečne promjene saliniteta površinskog sloja uočava se njegov, već ranije, uočen porast.
Temperature izmjerene tijekom 2015.-2020. na postaji OC18 u obalnom pojasu kod Rovinja bile su uglavnom između prosjeka i prosjeka uvećanog za jednu standardnu devijaciju. Određene su iz mjerenja klasično ili sondom u sloju 0-10 m. Tijekom zime i proljeća zabilježeno je po jedno negativno odstupanje od prosjeka, a tijekom ljeta niti jedno. Tijekom ova tri godišnja doba opažala su se i odstupanja veća od jedne standardne devijacije. U jesen su negativna odstupanja bila češća, a u tom godišnjem dobu dva puta su zabilježena i negativna odstupanja veća od jedne standardne devijacije. Može se zaključiti da su površinske temperature u zimu, proljeće i ljeto tijekom 2015.-2020. bile povišene u odnosu na klimatološko razdoblje, a da su u jesen bile varijabilnije. Uzrok promjena temperatura je općenito dijelom posljedica prijenosa topline iz atmosfere, a dijelom donosa topline horizontalnim i vertikalnim gibanjem u vodenom stupcu. Vjerojatno je tijekom promatranog razdoblja 2015.-2020., u kojem je bilo vrlo toplih razdoblja, važnu ulogu u karakterizaciji površinske temperature imala i advekcija vrlo slane vode iz južnijih područja koja je to razdoblje obilježila.
Salinitet na postaji OC18 tijekom 2015.-2020. bio je iznadprosječan za sva mjerenja. U zimu, ljeto i proljeće često su bilježene vrijednosti koje su više od jedne standardne devijacije odstupale od prosjeka. U proljeće je zabilježena samo jedna vrijednost koja je se tako značajno razlikovala od klimatološkog srednjaka. Na salinitet u sjevernom Jadranu najviše utječe sustav strujanja kojim se prenose zaslađene vode iz rijeke Po ili slanije vode iz južnijih područja. Tijekom razdoblja 2015.-2020. postaja OC18 bila je pod utjecajem voda izrazito visokog saliniteta, vjerojatno iz Sredozemlja, čime se mogu objasniti naglašena pozitivna odstupanja. Ali, u tim slanim vodama moguća je i prisutnost zaslađenih voda porijeklom iz rijeke Po, bez kojih bi salinitet bio i znatno viši. Naime, izuzetno visoke vrijednosti saliniteta, 38.5 i 38.3 su zabilježene samo dva puta, u zimu, i to u 2017. odnosno 2019. godini, a u drugim mjerenjima vrijednosti nisu prelazile 38.2. Salinitet mjeren na lokaciju južno od vrha Istre (rta Kamenjak) bio je u nekim slučajevima i preko 38.8. Pojava izrazito slane vode posljedica je specifičnih atmosferskih uvjeta i djelovanja mehanizma BIOS-a koji su mogli pogodovati advekciji iz Sredozemlja, ali i punjenja površinskih slojeva Jadrana izrazito slanom vodom, koja se ranijih godina (prije 2015.) nalazila u dubljim slojevima (Beg Paklar, i sur., 2020 Mihanović, i sur., 2021).
Opisani rezultati, iako se temelje na manjem broju podataka, jer je tijekom 2015.-2020. bilo godina kada su se temperatura i salinitet odredili samo nekoliko puta, ipak daju uvid u glavna obilježja ovih parametara. Porast površinske temperature u 2015.-2020. u odnosu na višegodišnji prosjek u skladu je s rezultatima koje pokazuju analize sustavno skupljanih podataka na postaji Hvar i s analizama za postaje srednjeg Jadrana, te odražava zagrijavanje šireg područja. Pozitivna odstupanja saliniteta od prosjeka tijekom svih mjerenja upućuju na dugotrajno zadržavanje vode visokog saliniteta u sjevernom Jadranu, te bi se najvjerojatnije sličan rezultat dobio i učestalijim mjerenjima.
Promatrajući sadržaj topline u površinskom sloju u odnosu na prethodna razdoblja primjećuje se na svim postajama porast temperature. U dubljim slojevima obalnog i otvorenog mora godišnji hod temperature gotovo je cijelu godinu bio iznad klimatoloških vrijednosti. U području Kaštelanskog zaljeva temperatura pridnenog sloja tijekom cijele godine bila je iznad 1 standardne devijacije srednjeg godišnjeg hoda za razdoblje 1961.-1990. Promatrajući srednje godišnje promjene saliniteta površinskog sloja u otvorenim vodama srednjeg Jadrana ovo se razdoblje može smatrati nastavkom porasta saliniteta koji je započeo 2015. godine. Ističe se posebno 2017. godina kao godina vrlo neuobičajenih vrijednosti i strukture saliniteta (Beg Paklar, i sur., 2020). Vertikalna struktura saliniteta u vodenom stupcu se potpuno promijenila. Ljeti je uobičajeno da je salinitet na površini manji nego u dubljim slojevima. Zbog već spomenutog pojačanog isparavanja u vrlo suhoj atmosferi, tijekom ljeta 2017. godine površinski je salinitet na površini bio iznad vrijednosti od 39.0; primjerice na postaji OC05a vrijednost površinskog saliniteta bila je 39.05. Površinski salinitet u Kaštelanskom je zaljevu (OC06) bio je tijekom cijele godine iznadprosječan s maksimumom u rujnu iznosa 38.51. Na postaji Pelegrin (OC05b) salinitet je bio u rasponu 38.62-38.96 s maksimumom u listopadu, 38.96. U području otoka Visa, na postaji OC05a salinitet je također tijekom cijele godine bio iznadprosječan. U pridnenom slojevima srednjeg Jadrana salinitet je tijekom čitave godine bio iznad gornje granice klimatoloških vrijednosti. Na Stončici je bio u rasponu od 38.4 do 38.9. Također, salinitet je tijekom 2019. godine na svim postajama bio iznadprosječan. Gustoća je slijedila odnos topline i sadržaja soli u moru te je uz očuvan godišnji hod na sve tri postaje bila na gornjoj granici klimatološkog prosjeka.
Razmatrajući dobivene rezultate treba imati u vidu dvije ključne činjenice: 1) razdoblje od 6 godine prekratko je za statističko određivanje stabilne srednje vrijednosti i 2) mjerenja na oceanografskim postajama tijekom terenskih istraživanja većinom su jednom mjesečno i to uglavnom pri anticiklonalnom vremenu tzv. „oceanografija lijepog vremena“. Jedna od usporedba analiza dugoročnih mjerenja na obalnim i oceanografskim postajama pokazala je da se apsolutne razlike u temperaturi površinskog sloja mjerene kreću između (-2,8 do +3,2) 0C.
Literatura:
Beg Paklar, B., Vilibić, I., Grbec, B., Matić, F., Mihanović, H., Džoić, T., Šantoć, D., Šestanović, S., Šolić, M., Ivatek-Šahdan, S., Kušpilić, G. (2020). Record-breaking salinities in the middle Adriatic during summer 2017 and concurrent changes in the microbial food web. Progress in Oceanography, 185; 102345.
Grbec, B., Matić, F., Beg Paklar, G., Morović, M., Popović, R., Vilibić, I. (2018).
Long-term trends, variability and extremes of in situ sea surface temperature measured along the eastern Adriatic coast and its relationship to hemispheric processes. Pure and applied geophysics, 175 (2018), 11; 4031-4046 doi:10.1007/s00024-018-1793-1.
Grbec, B. (1997). Influence of climatic changes on oceanographic properties of the Adriatic Sea. Acta Adriatica, 38(2), 3–29.
Grbec, B., and Morović´, M. (1997). Seasonal thermohaline fluctuations in the middle Adriatic Sea. Il Nuovo Cimento C, 20, 561–576.
Matić, F., Grbec, B., & Morović, M. (2011). Indications of climate regime shifts in the middle Adriatic Sea. Acta Adriatica, 52, 235–246.
Mihanović, H., Vilibić, I., Šepić, J., Matić, F., Ljubešić, Z., Mauri, E,, Gerin, R., Notarstefano, G., Poulain, P.-M. (2021) Observation, Preconditioning and Recurrence of Exceptionally High Salinities in the Adriatic Sea. Frontiers in Marine Science, 8:672210; doi: 10.3389/fmars.2021.672210.
Orlić, M., Beg Paklar, G., Dadić, V., Leder, N., Mihanović, H., Pasarić, M., Pasarić, Z. (2011). Diurnal upwelling resonantly driven by sea breezes around an Adriatic island. Journal of geophysical research, 116, C09025-1 doi: 1029/2011JC006955.
Izvor dugoročnih serija podataka podataka:
Državni hidrometeorološki zavod, Zagreb - prizemna temperatura zraka i površinska temperatura mora za postaju Hvar
Institut za oceanografiju i ribarstvo, Split – temperatura mora i salinitet za postaje Stončica i Pelegrin
Novosti